FREE! Click here to Join FunTrivia. Thousands of games, quizzes, and lots more!
Quiz about Now I Know My ABCs
Quiz about Now I Know My ABCs

Now I Know My ABCs Trivia Quiz

What Does ABC Stand for in Various Fields?

Remember singing ABCs in school? "Now I know my ABCs. Next time won't you sing with me." Test your knowledge across music, science, geography, and pop culture, and discover the many meanings of ABC. I hope you find this quiz is as easy as ABC! Enjoy!

A photo quiz by Matthew_07. Estimated time: 3 mins.
  1. Home
  2. »
  3. Quizzes
  4. »
  5. General Knowledge Trivia
  6. »
  7. Alphabetics

Author
Matthew_07
Time
3 mins
Type
Photo Quiz
Quiz #
415,326
Updated
Jan 09 26
# Qns
10
Difficulty
Average
Avg Score
8 / 10
Plays
516
Awards
Top 20% Quiz
Last 3 plays: herma1504 (8/10), psnz (10/10), demurechicky (10/10).
-
Question 1 of 10
1. Help! Someone suffered a cardiac arrest and collapsed! Start CPR (cardiopulmonary resuscitation) now!

In emergency medicine, ABC is a life-saving priority assessment. What does ABC stand for?
Hint


Question 2 of 10
2. Tune in! You see the iconic logo on your TV screen - ABC. Known for its TV shows like "Lost" (2004 - 2010) and "Desperate Housewives" (2004 - 2012), which major U.S. television network does ABC stand for? Hint


Question 3 of 10
3. Welcome to South America! The term "ABC countries" refers to a trio of South American nations that have historically worked together for diplomacy and regional stability. Which countries are being referred to? Hint


Question 4 of 10
4. Dreaming of a sunny Caribbean getaway? The ABC Islands are a trio of islands with Dutch colonial history located off the coast of Venezuela. Which islands make up the ABC Islands? Hint


Question 5 of 10
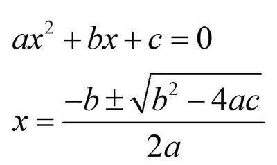
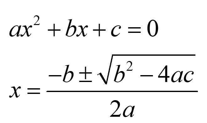
5. Crunch the numbers - it's time to solve a mathematical problem! For the equation that takes the form of ax² + bx + c = 0, which formula, also known as the ABC formula, is used to solve it? Hint


Question 6 of 10
6. Help! Something is on fire! Grab the fire extinguisher! The ABC classification on fire extinguishers indicates the types of fires it can be used on. What common mnemonic does "ABC" stand for in this context to help you remember it? Hint


Question 7 of 10
7. Look at these celebrities! Actress Constance Wu, basketball player Jeremy Lin, and singer Wang Leehom are all ABCs. What does "ABC" stand for in this context? Hint


Question 8 of 10
8. Look at this classic hit! "ABC" (1970) is the title track from an album of the same name. Which legendary pop band performed this song? Hint


Question 9 of 10
9. Hola! Look at this unique airport code! "ABC" is the IATA (International Air Transport Association) code for a specific airport located in a European country famous for flamenco and paella. Which airport does it represent?
Hint


Question 10 of 10
10. The human blood group system is called the ABC system, which classifies blood into four types - A, B, AB, and C.



(Optional) Create a Free FunTrivia ID to save the points you are about to earn:

arrow Select a User ID:
arrow Choose a Password:
arrow Your Email:




View Image Attributions for This Quiz

Most Recent Scores
Feb 22 2026 : herma1504: 8/10
Feb 22 2026 : psnz: 10/10
Feb 22 2026 : demurechicky: 10/10
Feb 21 2026 : tmac93024: 6/10
Feb 20 2026 : Guest 96: 8/10
Feb 19 2026 : max_brand1: 8/10
Feb 17 2026 : PolarBeard: 8/10
Feb 13 2026 : Guest 128: 7/10
Feb 12 2026 : 1963Kid: 6/10

Quiz Answer Key and Fun Facts
1. Help! Someone suffered a cardiac arrest and collapsed! Start CPR (cardiopulmonary resuscitation) now! In emergency medicine, ABC is a life-saving priority assessment. What does ABC stand for?

Answer: Airway, Breathing, Circulation

The acronym ABC is critical in medical emergencies. It describes the approach first aiders or responders use to assess and stabilize a casualty.

After checking for danger, the first aider must ensure that the casualty's airway, which might be blocked by the tongue or a foreign object, is open. Next, the first aider checks that the patient is breathing. Finally, the first aider assesses circulation by checking blood flow, pulse, and observing skin color.
2. Tune in! You see the iconic logo on your TV screen - ABC. Known for its TV shows like "Lost" (2004 - 2010) and "Desperate Housewives" (2004 - 2012), which major U.S. television network does ABC stand for?

Answer: American Broadcasting Company

ABC (American Broadcasting Company) is one of the Big Three U.S. networks, the other two being CBS (Columbia Broadcasting System) and NBC (National Broadcasting Company). First launched as a radio network in 1943, ABC is famous for news, sports, and entertainment.

The hit TV show "Lost" (2004 - 2010) is a science fiction thriller about a group of plane crash survivors on a mysterious island, while the popular comedy-drama "Desperate Housewives" (2004 - 2012) follows the secrets and scandals of suburban women.
3. Welcome to South America! The term "ABC countries" refers to a trio of South American nations that have historically worked together for diplomacy and regional stability. Which countries are being referred to?

Answer: Argentina, Brazil, Chile

The ABC countries (Argentina, Brazil, and Chile) have often collaborated to mediate conflicts and promote stability in South America.

The ABC term was first used in 1914 during the Niagara Falls peace conference, where the three nations mediated U.S.-Mexico tensions following the Tampico Affair and the occupation of Veracruz. Subsequently, in 1942, they helped resolve the border dispute between Peru and Ecuador.
4. Dreaming of a sunny Caribbean getaway? The ABC Islands are a trio of islands with Dutch colonial history located off the coast of Venezuela. Which islands make up the ABC Islands?

Answer: Aruba, Bonaire, Curaçao

Located in the Caribbean Sea, the ABC (Aruba, Bonaire, and Curaçao) Islands are the three westernmost islands of the Leeward Antilles. They are noted for their sunny beaches and rich Dutch heritage.

Interestingly, ABC does not reflect their geographical order; their actual positions from west to east are Aruba, Curaçao, and Bonaire.
5. Crunch the numbers - it's time to solve a mathematical problem! For the equation that takes the form of ax² + bx + c = 0, which formula, also known as the ABC formula, is used to solve it?

Answer: Quadratic Formula

The quadratic formula is derived from a mathematical method called completing the square. The formula provides a closed form solutions of the two answers of a quadratic equation. The terms a, b, and c in the formula refer to the coefficient of x^2, x, and the constant term, respectively.

For example, for the equation x^2 -3x + 2 = 0, the two roots are 1 and 2. This can be solved using the quadratic formula, or more quickly by factorization, i.e. (x-1) (x-2) = 0.
6. Help! Something is on fire! Grab the fire extinguisher! The ABC classification on fire extinguishers indicates the types of fires it can be used on. What common mnemonic does "ABC" stand for in this context to help you remember it?

Answer: Ash, Barrel, Current

The ABC classification indicates the types of fires an extinguisher can safely be used on. Type A fires involve ordinary solid combustibles such as paper or wood (ash). Type B fires involve flammable liquids and gases (barrel). Type C fires involve electrical equipment (current).

Additionally, there are two more classes: Type D, for combustible metals (dynamite), and Type K, for fires involving oils and fats (kitchen).
7. Look at these celebrities! Actress Constance Wu, basketball player Jeremy Lin, and singer Wang Leehom are all ABCs. What does "ABC" stand for in this context?

Answer: American-born Chinese

American-Born Chinese (ABC) refers to people of Chinese heritage who were born and raised in the United States.

Constance Wu (born 1982) is noted for her comedic roles in the movie "Crazy Rich Asians" (2018) and the TV series "Fresh Off the Boat" (2015 - 2020). Jeremy Lin (born 1988), or his full name Jeremy Shu-How Lin, is best remembered as one of the first Asian Americans to achieve major success in the National Basketball Association (NBA). Wang Leehom (born 1976) is a famous singer-songwriter known for his hip-hop and R&B styles.
8. Look at this classic hit! "ABC" (1970) is the title track from an album of the same name. Which legendary pop band performed this song?

Answer: The Jackson 5

Released in 1970 as both a single and the title track of the Jackson 5's second studio album, the song "ABC" became a massive hit and helped cement the band's success. The album "ABC" showcased the group's youthful energy and their iconic Motown sound.
9. Hola! Look at this unique airport code! "ABC" is the IATA (International Air Transport Association) code for a specific airport located in a European country famous for flamenco and paella. Which airport does it represent?

Answer: Albacete Airport, Spain

The IATA (International Air Transport Association) assigns unique three-letter codes to airports around the world to facilitate identification in air travel.

Albacete Airport (ABC) is located south of the city of Albacete, the capital of the province of the same name, in Castile-La Mancha, Spain.

The incorrect options include Abakan International Airport (ABA) in Russia, Asaba International Airport (ABB) in Nigeria, and Abadan International Airport (ABD) in Iran.
10. The human blood group system is called the ABC system, which classifies blood into four types - A, B, AB, and C.

Answer: False

The human blood group system is called the ABO system, not ABC. It classifies blood into four types - A, B, AB, and O, based on the presence or absence of A and B antigens on red blood cells. Correct identification is of paramount importance to ensure compatibility and safe blood transfusions.
Source: Author Matthew_07

This quiz was reviewed by FunTrivia editor agony before going online.
Any errors found in FunTrivia content are routinely corrected through our feedback system.
Related Quizzes
1. Alphabet Waltz Average
2. Just Fill in the Correct Letter! Average
3. Love, Alphabetically Average
4. Artistic Alphabetics Easier
5. R U O K? Average
6. Alphabetical Answers! Very Easy
7. By the Letter Average
8. Alphabetical Answers 2! Very Easy
9. Where Is U? Easier
10. Chain Gang Shebang Tough
11. J, Q, X or Z? Tough
12. Agent Alphabet 'letteral' Quest Easier

2/24/2026, Copyright 2026 FunTrivia, Inc. - Report an Error / Contact Us